人名反应机理新解,Hodges-Vedejs恶唑合成反应

Nov. 07, 2022
这是喂唑与苯甲醛的加成反应:

图片


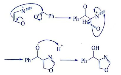
现有文献将 Hodges-Vedejs 唑合成反应的机理解析为:


图片


然而,恶唑开环过程可被硼烷抑止,具体实例如下:


图片


此机理解析存在如下问题:由于没有区分离子键与共价键,没有分清反


应过程的先后次序,没有认清异腈碳原子作为亲电试剂的条件,因而未将原理解析清楚。

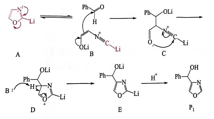
首先,在A 分子结构上,与锂成键碳原子是分别与O和N 成键的,根据电负性均衡原理其电负性显著增大,此种状态下其与锂原子的电负性差应该大于1.7,相当于碳锂之间已经不是共价键了而是离子键。


图片


接着,上述产物结构的碳负离子是与较大电负性的氧原子成键的,氧容易带着共价键上独对电子离去生成卡宾。


图片


接着,亚胺氮原子上的独对电子进入卡宾的空轨道成键,碳负离子再与质子成键。

图片

所生成的产物为异腈,其碳原子不是与锂成键是与氢原子成键的,这种结构的碳原子才是亲电试剂,才能完成后续的缩合、环化反应。


图片

由此可见,反应次序不可颠倒、不可混淆,否则便无法说清楚反应原理。


至于后一个实例所说的硼烷抑制了开环过程,原因:一是由于生成的氮正离子较强的电负性,使得碳原子电负性显著增加,氧原子不易带走一对电子;二是芳烃与唑环共轭而供电,因而减小了氧原子的电负性的缘故。


参考文献
[1]Hodges J C, Patt W C, Connolly CJ. J Org Chem,1991, 56:449.
[2]Iddon B.Heterocycles,1994,37: 1321.